Benchmark Analysis of TidesDB 7.2.1 vs RocksDB 10.9.1

January 11th, 2026
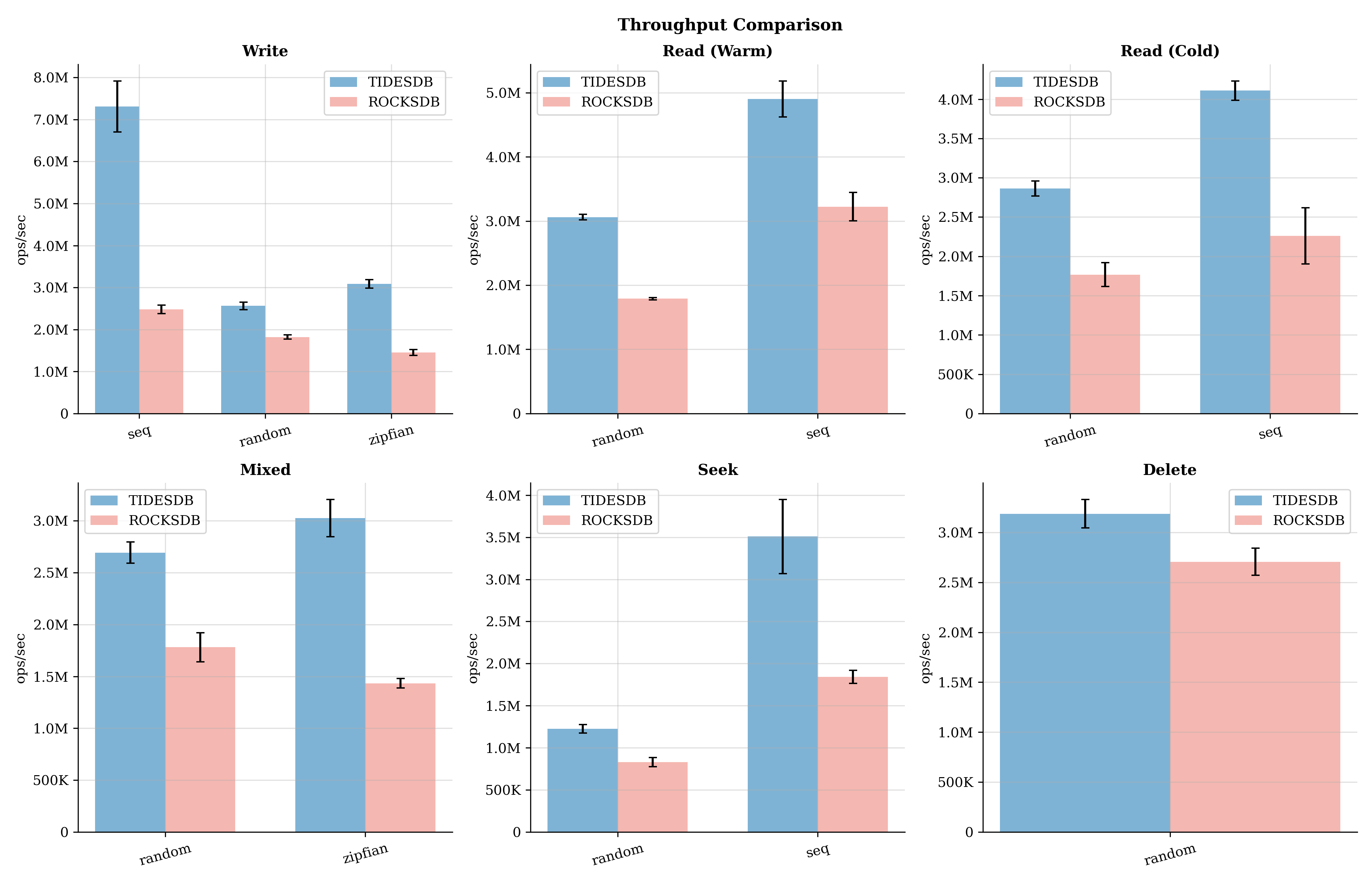
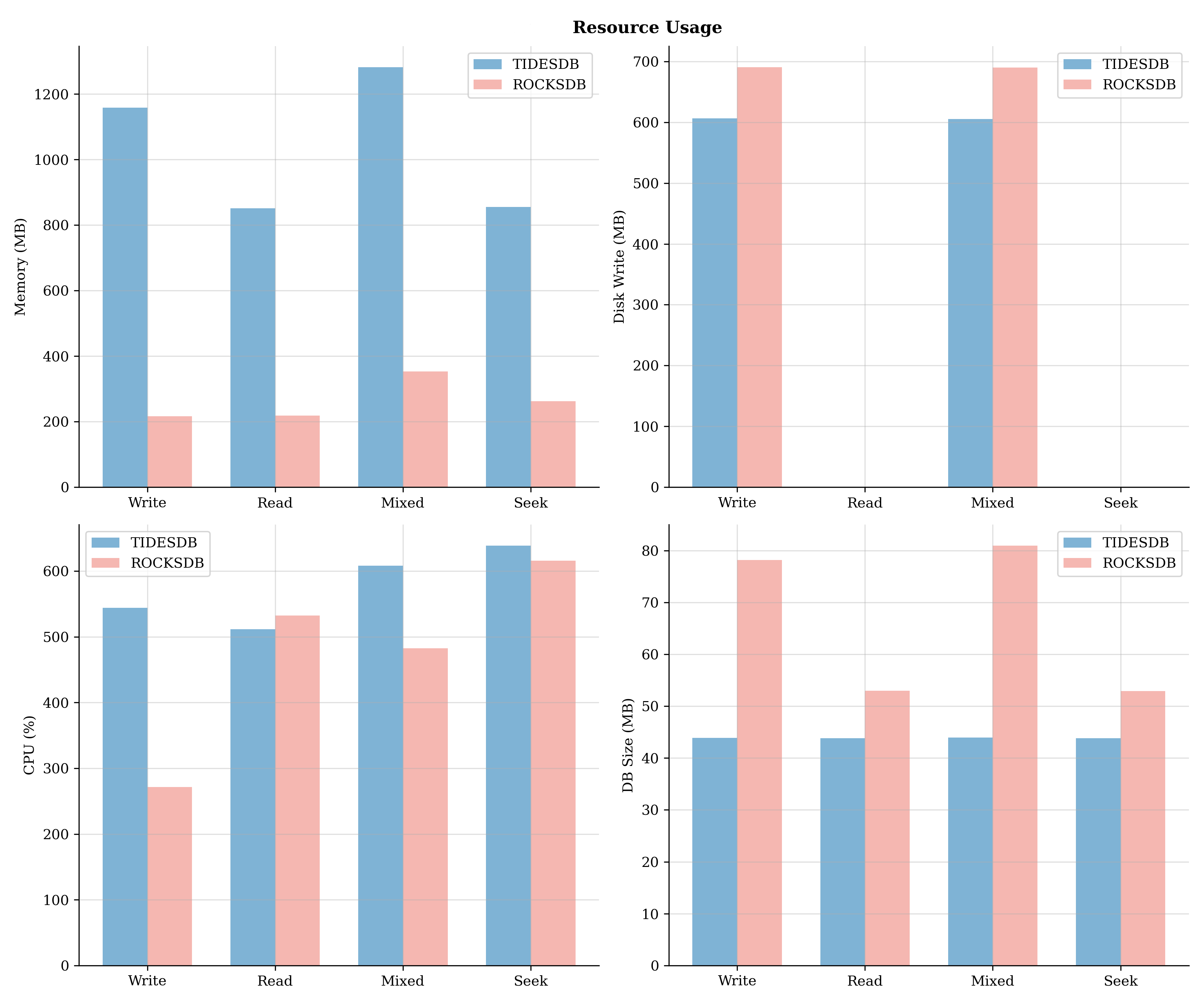
Lot’s of benchmarking the past few days, especially yesterday into today, optimizing for lower latency, better throughput, and more stable performance.
This new patch of TidesDB has shown superior and stable performance over RocksDB 10.9.1. We can see this in the graphs below. If you want to find the raw CSV data, you can find it here.
Hardware
- Intel Core i7-11700K (8 cores, 16 threads) @ 4.9GHz
- 48GB DDR4
- Western Digital 500GB WD Blue 3D NAND Internal PC SSD (SATA)
- Ubuntu 23.04 x86_64 6.2.0-39-generic
Software Versions
- TidesDB v7.2.1
- RocksDB v10.9.1
View more about the release here.
Thanks for reading!
Links
- GitHub · https://github.com/tidesdb/tidesdb
- Design deep-dive · https://tidesdb.com/getting-started/how-does-tidesdb-work
- Admintool · https://github.com/tidesdb/admintool
- Discord · https://discord.gg/tWEmjR66cy